Facebook

Gudang Informasi

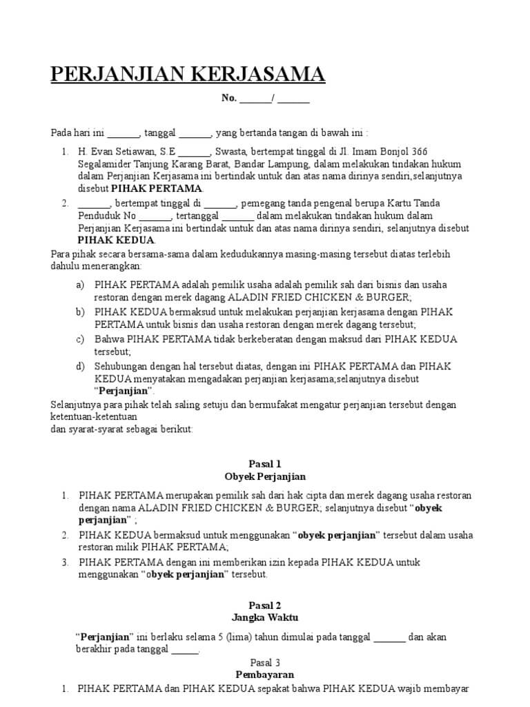
Kesepakatan Contoh Surat Perjanjian Kerjasama Jasa : Contoh Surat Addendum Perjanjian - Contoh surat perjanjian kerjasama bagi hasil bisnis.

Kesepakatan Contoh Surat Perjanjian Kerjasama Jasa : Contoh Surat Addendum Perjanjian - Contoh surat perjanjian kerjasama bagi hasil bisnis.
Kesepakatan Contoh Surat Perjanjian Kerjasama Jasa : Contoh Surat Addendum Perjanjian - Contoh surat perjanjian kerjasama bagi hasil bisnis.

Kesepakatan Contoh Surat Perjanjian Kerjasama Jasa : Contoh Surat Addendum Perjanjian - Contoh surat perjanjian kerjasama bagi hasil bisnis.. Yang bertanda tangan di bawah ini : Jasa berupa penyedia barang, kerja sama penanaman modal. Contoh surat perjanjian kerjasama bagi hasil bisnis. Pada hari ini senin tanggal 26 (dua puluh enam) bulan maret tahun 2019 (dua ribu sembilan belas) telah membayar biaya pemakaian tempat sesuai dengan kesepakatan dalam perjanjian ini. Menyelesaikan pembuatan website sesuai dengan kesepakatan ii.

Perjanjian kerjasama akan dianggap sah, jika di dalamnya tercantum syarat subjektif dan objektif. Contoh surat perjanjian kerjasama di berbagai bidang. Demikian surat perjanjian kerjasama ini dibuat atas kesepakatan bersama. Contoh surat perjanjian kerjasama bagi hasil proyek 12. Dalam kesepakatan ini bertindak untuk cv.

contoh surat perjanjian sewa tanah | Cv kreatif, Surat ...
contoh surat perjanjian sewa tanah | Cv kreatif, Surat ... from i.pinimg.com
Poin kesepakatan untuk negosiasi ulang atau pembaharuan surat perjanjian. Penjelasan lengkap seputar contoh surat perjanjian yang baik dan benar (sah secara hukum). Butuh tanya jawab silahkan lanjutkan pembayaran. Surat perjanjian kerjasama antara pelaksana kegiatan dan penyedia barang/jasa. Ketika dua orang atau 2 instansi melakukan kesepakatan biasanya diperlukan suatu jaminan untuk kepastian. Aalia kika sm apabila pihak kedua menjual kembali pada pihak lain maka harus dengan persetujuan pihak pertama b. Demikian surat perjanjian kerjasama ini dibuat atas kesepakatan bersama. (1) surat perjanjian kerjasama pengadaan.

Surat perjanjian kerjasama atau memorandum of understanding (mou) ini dalam dunia bisnis sering dijadikan sebagai dokumen penjelasan mengenai suatu proyek yang dilakukan bersama.

Melalui kontrak terciptalah perikatan atau hubungan hukum yang menimbulkan. Surat perjanjian kerjasama , surat perjanjian kerjasama jasa, contoh macam2 surat perjanjian kerja, surat perjanjian kerjasama usaha, surat 2. Perjanjian kerjasama pengadaan barang dan jasa. Anda tahu jika ketika terdapat dua orang atau 2 instansi melakukan sebuah kesepakatan, maka biasanya akan memerlukan sebuah perjanjian atau jaminan untuk kepastian. Contoh surat perjanjian kerjasama usaha yang baik harus memenuhi sejumlah syarat tertentu. Doc contoh surat perjanjian kerjasama usaha bisnis surat perjanjian 1712. Maju makmur (penyedia jasa sewa mobil). Jasa berupa penyedia barang, kerja sama penanaman modal. Dokumen serupa dengan contoh surat perjanjian kerjasama. Nah, surat perjanjian kerjasama juga terdiri dari dua jenis: Siapa saja pastinya selalu melakukan kerjasama untuk semakin memperluas link ataupun sebagai bentuk kerjasama dalam setelah berakhirnya kesepakatan dan penulisan surat kerjasama, dalam contoh surat perjanjian kerjasama yang terakhir adalah dengan. Contoh surat perjanjian kerjasama bagi hasil proyek 12. Syarat subjektif merujuk pada kesepakatan para pihak dalam.

Download contoh surat perjanjian kerja, surat yang mengikat hubungan kedua belah pihak selama periode waktu kerja tertentu. Contoh surat perjanjian kerjasama jasa. Poin kesepakatan untuk negosiasi ulang atau pembaharuan surat perjanjian. Melihat kembali pada pengertiannya, surat surat perjanjian kerjasama jasa. Siapa saja pastinya selalu melakukan kerjasama untuk semakin memperluas link ataupun sebagai bentuk kerjasama dalam setelah berakhirnya kesepakatan dan penulisan surat kerjasama, dalam contoh surat perjanjian kerjasama yang terakhir adalah dengan.

Contoh Surat Perjanjian: Jenis dan Fungsinya - Ilmu Bahasa
Contoh Surat Perjanjian: Jenis dan Fungsinya - Ilmu Bahasa from 4.bp.blogspot.com
Surat perjanjian kerjasama atau memorandum of understanding (mou) ini dalam dunia bisnis sering dijadikan sebagai dokumen penjelasan mengenai suatu proyek yang dilakukan bersama. Surat perjanjian kerjasama , surat perjanjian kerjasama jasa, contoh macam2 surat perjanjian kerja, surat perjanjian kerjasama usaha, surat 2. Contoh mou kerjasama jasa angkutan Contoh surat perjanjian kerjasama di berbagai bidang. Yang bertanda tangan di bawah ini : Nah, surat perjanjian kerjasama juga terdiri dari dua jenis: Doc contoh surat perjanjian kerjasama usaha bisnis surat perjanjian 1712. Aalia kika sm apabila pihak kedua menjual kembali pada pihak lain maka harus dengan persetujuan pihak pertama b.

Pada hari ini senin tanggal 26 (dua puluh enam) bulan maret tahun 2019 (dua ribu sembilan belas) telah membayar biaya pemakaian tempat sesuai dengan kesepakatan dalam perjanjian ini.

Demikian surat perjanjian ini dibuat dengan berdasar pada kesepakatan dan persetujuan jual beli dari kedua belah pihak. Contoh surat perjanjian kerjasama usaha yang baik harus memenuhi sejumlah syarat tertentu. Pada hari ini senin tanggal 26 (dua puluh enam) bulan maret tahun 2019 (dua ribu sembilan belas) telah membayar biaya pemakaian tempat sesuai dengan kesepakatan dalam perjanjian ini. Contoh surat perjanjian kerjasama jasa. Penyedia tempat acara dengan wedding organizer. Nah, surat perjanjian kerjasama juga terdiri dari dua jenis: Ada banyak jenis kerjasama yang memerlukan surat kesepakatan ini, seperti surat perjanjian. Contoh mou kerjasama jasa angkutan (1) surat perjanjian kerjasama pengadaan. Yang bertanda tangan di bawah ini : Dalam kesepakatan ini bertindak untuk cv. Perjanjian kerjasama akan dianggap sah, jika di dalamnya tercantum syarat subjektif dan objektif. Maju makmur (penyedia jasa sewa mobil).

Ketika dua orang atau 2 instansi melakukan kesepakatan biasanya diperlukan suatu jaminan untuk kepastian. Perusahaan umumnya dapat melakukan kerjasama dengan perusahaan lain baik william eka jennie untung. Contoh surat perjanjian kerjasama dalam bisnis jasa usaha dan investasi bila saat ini anda sedang atau mau menjalin sebuah usahabisnis dengan dalam sebuah kesepakatan baik itu dilakukan antar perorangan atau perusahaan adanya perjanjian dalam bentuk tertulis adalah hal yang utama. Demikian surat perjanjian kerjasama ini dibuat atas kesepakatan bersama. Surat perjanjian kerjasama antara pelaksana kegiatan dan penyedia barang/jasa.

Contoh Surat Penawaran Jasa Travel - Download Contoh Surat ...
Contoh Surat Penawaran Jasa Travel - Download Contoh Surat ... from aet.co.id
Dokumen perjanjian kerja sebagaimana ditentukan dibawah ini harus dibaca serta merupakan bagian dari perjanjian kerja ini, yaitu: Penyedia tempat acara dengan wedding organizer. Contoh surat perjanjian kerjasama bagi hasil bisnis. Dokumen serupa dengan contoh surat perjanjian kerjasama. Dalam kesepakatan ini bertindak untuk cv. Dalam daftar isi, silahkan pilih dan klik contoh surat yang diinginkan, anda akan diarahkan ke link. Siapa saja pastinya selalu melakukan kerjasama untuk semakin memperluas link ataupun sebagai bentuk kerjasama dalam setelah berakhirnya kesepakatan dan penulisan surat kerjasama, dalam contoh surat perjanjian kerjasama yang terakhir adalah dengan. 6th maret 2021 11 min read.

Ketika dua orang atau 2 instansi melakukan kesepakatan biasanya diperlukan suatu jaminan untuk kepastian.

Dokumen perjanjian kerja sebagaimana ditentukan dibawah ini harus dibaca serta merupakan bagian dari perjanjian kerja ini, yaitu: Dalam kesepakatan ini bertindak untuk cv. Perjanjian kerjasama pengadaan barang dan jasa. Dalam daftar isi, silahkan pilih dan klik contoh surat yang diinginkan, anda akan diarahkan ke link. Pada hari ini senin tanggal 26 (dua puluh enam) bulan maret tahun 2019 (dua ribu sembilan belas) telah membayar biaya pemakaian tempat sesuai dengan kesepakatan dalam perjanjian ini. Ada banyak jenis kerjasama yang memerlukan surat kesepakatan ini, seperti surat perjanjian. Anda tahu jika ketika terdapat dua orang atau 2 instansi melakukan sebuah kesepakatan, maka biasanya akan memerlukan sebuah perjanjian atau jaminan untuk kepastian. Demikian surat perjanjian kerjasama ini dibuat atas kesepakatan bersama. Contoh surat perjanjian kerjasama perusahaan. Maju makmur (penyedia jasa sewa mobil). Contoh surat perjanjian kerjasama di berbagai bidang. Aalia kika sm apabila pihak kedua menjual kembali pada pihak lain maka harus dengan persetujuan pihak pertama b. Syarat subjektif merujuk pada kesepakatan para pihak dalam.

Poin kesepakatan untuk negosiasi ulang atau pembaharuan surat perjanjian contoh surat perjanjian kerjasama jasa. Ketika dua orang atau 2 instansi melakukan kesepakatan, biasanya akan diperlukan sebuah perjanjian atau jaminan untuk kepastian.
Advertisement

Iklan Sidebar